Notice
Recent Posts
Recent Comments
Link
| 일 | 월 | 화 | 수 | 목 | 금 | 토 |
|---|---|---|---|---|---|---|
| 1 | 2 | 3 | 4 | 5 | 6 | |
| 7 | 8 | 9 | 10 | 11 | 12 | 13 |
| 14 | 15 | 16 | 17 | 18 | 19 | 20 |
| 21 | 22 | 23 | 24 | 25 | 26 | 27 |
| 28 | 29 | 30 | 31 |
Tags
- nestjs
- Python
- 99클럽
- 꿀단집
- 파이썬
- 코드잇
- aws
- 프로그래머스
- CSS
- 중간이들
- Azure
- redis
- mongoDB
- 개발자취업
- HTML
- 유노코딩
- 방송대컴퓨터과학과
- 코딩테스트
- 항해99
- 파이썬프로그래밍기초
- 방송대
- node.js
- Git
- 오픈소스기반데이터분석
- 엘리스sw트랙
- JavaScript
- 데이터베이스시스템
- TiL
- 코딩테스트준비
- 클라우드컴퓨팅
Archives
- Today
- Total
배꼽파지 않도록 잘 개발해요
99클럽 코테 스터디 13일차 TIL - Search in a Binary Search Tree 본문

Search in a Binary Search Tree
출처 : LeetCode
You are given the root of a binary search tree (BST) and an integer val.
Find the node in the BST that the node's value equals val and return the subtree rooted with that node. If such a node does not exist, return null.
Example 1:

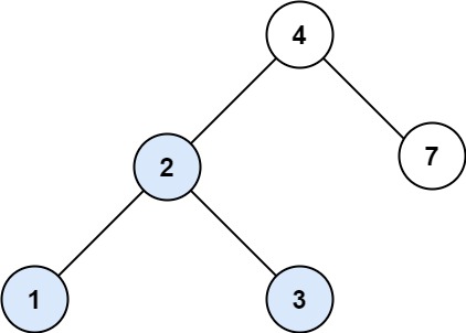
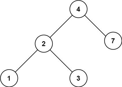
Input: root = [4,2,7,1,3], val = 2
Output: [2,1,3]
Example 2:

Input: root = [4,2,7,1,3], val = 5
Output: []
Constraints:
- The number of nodes in the tree is in the range [1, 5000].
1 <= Node.val <= 107 - root is a binary search tree.
1 <= val <= 107
/**
* Definition for a binary tree node.
* function TreeNode(val, left, right) {
* this.val = (val===undefined ? 0 : val)
* this.left = (left===undefined ? null : left)
* this.right = (right===undefined ? null : right)
* }
*/
/**
* @param {TreeNode} root
* @param {number} val
* @return {TreeNode}
*/
// var searchBST = function(root, val) {
// };
function TreeNode(val, left = null, right = null) {
this.val = val; // 노드의 값
this.left = left; // 왼쪽 자식 노드
this.right = right; // 오른쪽 자식 노드
}
function searchBST(root, val) {
// 기본 경우: 루트가 null이거나 루트의 값이 찾고자 하는 값과 일치하는 경우
if (root === null || root.val === val) {
return root; // 현재 노드를 반환
}
// 찾고자 하는 값이 루트의 값보다 작은 경우, 왼쪽 서브트리에서 검색
if (val < root.val) {
return searchBST(root.left, val);
}
// 찾고자 하는 값이 루트의 값보다 큰 경우, 오른쪽 서브트리에서 검색
return searchBST(root.right, val);
}
728x90
'코딩테스트 > 99클럽' 카테고리의 다른 글
| 99클럽 코테 스터디 15일차 TIL - 모의고사 (0) | 2024.08.05 |
|---|---|
| 99클럽 코테 스터디 14일차 TIL - Symmetric Tree (0) | 2024.08.04 |
| 99클럽 코테 스터디 12일차 TIL - 문자열 내림차순으로 배치하기 (0) | 2024.08.02 |
| 99클럽 코테 스터디 10일차 TIL - 정수 내림차순으로 배치하기 (0) | 2024.08.02 |
| 99클럽 코테 스터디 10일차 TIL - Kth Largest Element in a Stream (0) | 2024.08.01 |