Notice
Recent Posts
Recent Comments
Link
| 일 | 월 | 화 | 수 | 목 | 금 | 토 |
|---|---|---|---|---|---|---|
| 1 | 2 | 3 | 4 | 5 | 6 | |
| 7 | 8 | 9 | 10 | 11 | 12 | 13 |
| 14 | 15 | 16 | 17 | 18 | 19 | 20 |
| 21 | 22 | 23 | 24 | 25 | 26 | 27 |
| 28 | 29 | 30 | 31 |
Tags
- 방송대컴퓨터과학과
- 항해99
- 데이터베이스시스템
- nestjs
- 코딩테스트준비
- redis
- 파이썬프로그래밍기초
- 방송대
- HTML
- mongoDB
- node.js
- CSS
- 꿀단집
- aws
- Git
- 코딩테스트
- 개발자취업
- 99클럽
- 중간이들
- Python
- 유노코딩
- JavaScript
- 코드잇
- 오픈소스기반데이터분석
- 파이썬
- TiL
- 클라우드컴퓨팅
- Azure
- 엘리스sw트랙
- 프로그래머스
Archives
- Today
- Total
배꼽파지 않도록 잘 개발해요
99클럽 코테 스터디 14일차 TIL - Symmetric Tree 본문

Symmetric Tree
출처 : LeetCode
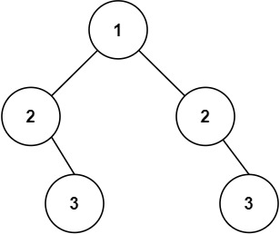
Given the root of a binary tree, check whether it is a mirror of itself (i.e., symmetric around its center).
Example 1:

- Input: root = [1,2,2,3,4,4,3]
- Output: true
Example 2:

- Input: root = [1,2,2,null,3,null,3]
- Output: false
Constraints:
- The number of nodes in the tree is in the range [1, 1000].
- -100 <= Node.val <= 100
Follow up: Could you solve it both recursively and iteratively?
첫 번째 풀이 (오답)
실행 결과 : undefined
/**
* Definition for a binary tree node.
* function TreeNode(val, left, right) {
* this.val = (val===undefined ? 0 : val)
* this.left = (left===undefined ? null : left)
* this.right = (right===undefined ? null : right)
* }
*/
/**
* @param {TreeNode} root
* @return {boolean}
*/
// 트리가 대칭이면 true, 아니면 false
// 대칭 조건 : 서로 같은 높이의 노드 2개를 비교해서 같으면 됨.
// 루트 노드부터 시작해서 서브트리의 노드를 비교
var isSymmetric = function(root) {
if (root === null) return true; // root가 null인 경우
return isMirror(root.left, root.right);
};
var isMirror = function(left, right) {
if (left === null && right === null) return true; // 양쪽 노드가 모두 null인 경우
else if (!left && right) return false; // 왼쪽만 null인 경우
else if (left && !right) return false; // 오른쪽만 null인 경우
else true;
};

틀린 이유
- this.left 대신 root.left를 사용해야 한다.
그 이유는 함수가 호출되는 컨텍스트 때문이다.
제공된 코드에서 root는 isSymmetric 함수에 인수로 전달되고 root.left와 root.right는 각각 root 노드의 왼쪽 자식노드, 오른쪽 자식노드를 참조한다. - 노드의 유무만 갖고 대칭을 판단하였으며, 노드 값이 일치하는지 비교하지 않았다.
- else return true를 써야하는데 else true만 써서 값이 반환되지 않아 undefined가 나왔다.
- root : TreeNode 클래스의 인스턴스, 이진 트리의 루트
- root.left, root.right : 각각 루트 노드의 왼쪽 자식 노드, 오른쪽 자식 노드
두 번째 풀이 (오답)
실행 결과 : 테스트 케이스만 정답, 제출 후 틀림
/**
* Definition for a binary tree node.
* function TreeNode(val, left, right) {
* this.val = (val===undefined ? 0 : val)
* this.left = (left===undefined ? null : left)
* this.right = (right===undefined ? null : right)
* }
*/
/**
* @param {TreeNode} root
* @return {boolean}
*/
// 트리가 대칭이면 true, 아니면 false
// 대칭 조건 : 서로 같은 높이의 노드 2개를 비교해서 같으면 됨.
// 루트 노드부터 시작해서 서브트리의 노드를 비교
// 1) 대칭인지 확인해야하고, 2) 두 노드값이 같아야 함.
var isSymmetric = function(root) {
if (root === null) return true;
return isMirror(root.left, root.right);
};
var isMirror = function(left, right) {
if (left === null && right === null) return true; // 양쪽 노드가 모두 null
else if (!left && right) return false; // 왼쪽 노드가 null
else if (left && !right) return false; // 오른쪽 노드가 null
else return isMirror(left.left, right.right) && isMirror(left.right, right.left); // 왼쪽과 오른쪽
};

틀린 이유
테스트케이스랑, 제출하고 일부 테스트만 통과한 것 보니까 얼추 논리는 맞는 것 같은데 다음과 같은 문제가 있었다.
- 대칭인 노드 값이 서로 일치하는지 확인하지 않았다.
이 문제를 자세히 살펴보니 단순히 노드 모양이 거울반사처럼 대칭인지 확인해야하는 것뿐만 아니라, 두 노드값이 같은지 확인할 필요도 있었다.
세 번째 풀이 (정답)
실행 결과 : 테스트케이스, 제출 후 모두 통과
조건문을 if, if, if로 쓴 경우
/**
* Definition for a binary tree node.
* function TreeNode(val, left, right) {
* this.val = (val===undefined ? 0 : val)
* this.left = (left===undefined ? null : left)
* this.right = (right===undefined ? null : right)
* }
*/
/**
* @param {TreeNode} root
* @return {boolean}
*/
// 트리가 대칭이면 true, 아니면 false
// 대칭 조건 : 서로 같은 높이의 노드 2개를 비교해서 같으면 됨.
// 루트 노드부터 시작해서 서브트리의 노드를 비교
// 1) 대칭인지 확인해야하고, 2) 두 노드값이 같아야 함.
var isSymmetric = function(root) {
if (root === null) return true;
return isMirror(root.left, root.right);
};
var isMirror = function(left, right) {
if (left === null && right === null) return true; // 양쪽이 null (대칭)
if (!left && right) return false; // 왼쪽이 null (비대칭)
if (left && !right) return false; // 오른쪽이 null (비대칭)
if (left.val !== right.val) return false; // 양쪽 노드값이 불일치 (비대칭)
return isMirror(left.left, right.right) && isMirror(left.right, right.left);
};

조건문을 if, else if, else로 쓴 경우
/**
* Definition for a binary tree node.
* function TreeNode(val, left, right) {
* this.val = (val===undefined ? 0 : val)
* this.left = (left===undefined ? null : left)
* this.right = (right===undefined ? null : right)
* }
*/
/**
* @param {TreeNode} root
* @return {boolean}
*/
// 트리가 대칭이면 true, 아니면 false
// 대칭 조건 : 서로 같은 높이의 노드 2개를 비교해서 같으면 됨.
// 루트 노드부터 시작해서 서브트리의 노드를 비교
// 1) 대칭인지 확인해야하고, 2) 두 노드값이 같아야 함.
var isSymmetric = function(root) {
if (root === null) return true;
return isMirror(root.left, root.right);
};
var isMirror = function(left, right) {
if (left === null && right === null) return true;
else if (!left && right) return false;
else if (left && !right) return false;
else if (left.val !== right.val) return false;
else return isMirror(left.left, right.right) && isMirror(left.right, right.left);
};


느낀점
- 알고리즘을 이용해야하는 문제를 풀면 1시간이 넘게 걸린다.
- 아직 알고리즘에 대해 아는게 하나도 없어서 그냥 친해지려고 노력중이다.
- 매일 알고리즘 공부하면서(인강, 구글링) 코딩테스트 문제만 풀고 싶은데, 지금 프로젝트 & 이력서 준비해야돼서 여력이 없다.
- 그래도 매일 1개씩 풀어서 네이버페이 3만 원을 받아야겠다.
728x90
'코딩테스트 > 99클럽' 카테고리의 다른 글
| 99클럽 코테 스터디 16일차 TIL - 최소 직사각형 (0) | 2024.08.06 |
|---|---|
| 99클럽 코테 스터디 15일차 TIL - 모의고사 (0) | 2024.08.05 |
| 99클럽 코테 스터디 13일차 TIL - Search in a Binary Search Tree (0) | 2024.08.03 |
| 99클럽 코테 스터디 12일차 TIL - 문자열 내림차순으로 배치하기 (0) | 2024.08.02 |
| 99클럽 코테 스터디 10일차 TIL - 정수 내림차순으로 배치하기 (0) | 2024.08.02 |